Gülermak, Havalimanı Metrosu için sözleşme imzaladı

0
155

*Bükreş’te, Băneasa’dan Otopeni Havalimanı’na M6 Metrosu için Gülermak Salı günü sözleşme imzaladı

Romanya’nın başkenti Bükreş’te Băneasa’dan Otopeni Havalimanı’na giden M6 Metro hattının yapımı için Gülermak Ağır Sanayi İnşaat Ve Taahhüt AS ile Somet SA’nın oluşturduğu konsorsiyum sözleşme imzaladı.

Salı günü imzalanan sözleşmenin değeri 1,27 milyar ley (257,6 milyon Euro) olup, başla talimatı aldığı andan itibaren 7,6 km’lik ve 6 istasyonlu metro hattı 4 yıl içerisinde tamamlanacak.

Sözleşmenin finansmanı, devlet bütçesinden ve geri ödenebilir dış fonlardan sağlanıyor. Bu proje için Romanya hükümeti Japonya’dan 300 milyon euroluk bir kredi aldı.

Ancak, başta belediye olmak üzere bazı alt yapı ile ilgili kuruluşlar, bazı basın organlarına projenin kârlı olmadığına yönelik açıklamalarda bulunarak başka metro hatlarına yönelinmesi gerektiğini söylediler.

Gülermak, Cluj’da aldığı metro işini de Alstom ve Arcada ile ortaklaşa yapacak.

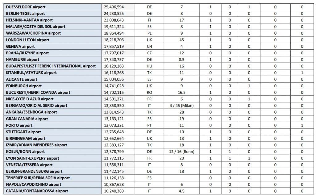
Pandemi öncesi istatistiklerine göre 2019’da Henri Coandă Havalimanı’ndaki yolcu trafiği 14,7 milyon yolcuydu.

0 Paylaşımlar
Önceki İçerik18’inci yıl etkinliğimize Devlet Sekreteri Novac da katılıyor
Sonraki İçerikRomanya’da oy kullanma işlemi başladı

CEVAP VER

Lütfen yorumunuzu giriniz!
Lütfen isminizi buraya giriniz